
White House initiative to encourage U.S. production of essential medicines calls on FDA to set program parameters for implement main aspects.

White House initiative to encourage U.S. production of essential medicines calls on FDA to set program parameters for implement main aspects.

How companies are leveraging Real Word Evidence to evaluate therapies under real world conditions in a broader population at a lower cost than using Randomized Clinical Trials.

As biopharma companies and research institutes advance the development of promising vaccines against COVID-19, policy makers and health officials have intensified deliberations on strategies for ensuring fair and equitable distribution of anticipated preventives.

Patient advocates, research experts, and industry are calling for more user fee revenues to support CBER programs to advance innovative therapies.

FDA's plans to resume inspections of some US regulated facilities this week are not clear on which sites will be visited and what alternative oversight strategies will apply where on-site inspections are difficult.

In recent months, many pharma businesses have pivoted to entirely new product lines against a backdrop of unprecedented disruption to the supply chain. Gurdip Singh provide pointers to ensure companies are ready to adapt to change.

Duncan van Rijsbergen highlights key considerations for life sciences companies tackling data quality issues.

Pharmaceutical Executive
Stresses the need for fair pricing of therapies, while ensuring access.

As providers and payers exert ever greater pressure on the pharma industry, will they force manufacturers to offer significant pricing concessions and will this become the new normal for the US healthcare system? Brett Gardiner reports.

The need for treatments to combat the spread of COVID-19 is promoting greater cooperation among drug regulatory authorities around the world, with FDA officials communicating more frequently with their counterparts in Europe, Canada, Japan and other nations through established programs and agreements.

Xavier Duburcq describes how pharma leaders can convert compliance from a cost center to a critical success factor.

After revoking its Emergency Use Authorization for medicines thought to treat COVID=19, the FDA is looking to regain credibility.

Will efforts to limit all returns on investment drive biopharma companies away from developing much-needed interventions for COVID-19.

Pharmaceutical Executive
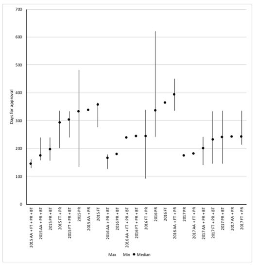
As authorizations skyrocket, review standards face questions.

The White House looks to bring in credible experts for its Operation Warp Speed initiative to advance therapies and vaccines to combat the coronavirus pandemic.

The COVID-19 pandemic is currently top of mind among pharma professionals, but stakeholders have other business to attend to – such as the upcoming deadline to meet regulatory requirements of the US FDA’s 2013 Drug Supply Chain Security Act.

Pharmaceutical Executive
Proposals around the globe seek to ensure access to any promising treatments.

Under pressure amid the COVID-19 panic, FDA has issued more than 100 Emergency Use Authorizations since early February, compared to less than 75 over the ten previous years.

ProductLife Group’s new CEO, Xavier Duburcq, talks about his hopes and ambitions, and his industry predictions, as global life sciences squares up to a more dynamic and digital future.

With hundreds of clinical trials for potential coronavirus therapies in the works concerns have mounted about the emergence of conflicting data, useless results, and wasted efforts from multiple overlapping efforts.

Steve Gens and Remco Munnik offer five best-practice tips for achieving a definitive, trusted regulatory and product information asset base capable of supporting intelligent innovation.

Jill Wechsler reports on the healthcare and regulatory provisions of the $2 trillion Coronovirus Aid, Relief, and Economic Security Act.

FDA officials are rolling out guidance and support for researchers striving to assess potential treatments for COVID-19 while the agency tries to object to premature optimism and regain public credibility.

FDA is offering advice and added flexibility to help sponsors adjust ongoing and planned clinical research programs during the COVID-19 outbreak.

It is vital to begin asking questions about your company’s DSCSA readiness and compliance, as well as that of your strategic partners, writes Rob Besse.